Read This if You're Afraid of Flying
You're in the sky. It's weird. A guide to understanding what's going on.
We’ve all been there. You’re strapped into an airline seat that’s two sizes too small, blissfully watching Daddy’s Home 2 or some other movie that wasn’t quite good enough to elude the inflight movie service. Then all of a sudden the plane hits turbulence and the illusion is shattered. You’re in an aluminum tube in the sky, pulling off the miracle of human flight; but right now, the allure is gone, and your knuckles hurt from holding on to the arm rest or your unlucky neighbor’s leg. Unless you’re my brother and get a weird rush out of turbulence, you’ve had a similar experience, and you’re not alone. In this newsletter we’ll try to demystify some of the scary parts of flying by looking at each scenario, why the plane responds the way it does, and if it can handle the bumps. Hopefully next time you’re flying and hit turbulence you can have a better understanding of what’s going on and can get back to watching Mark Wahlberg ruin his career.
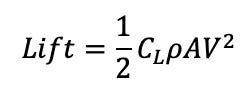
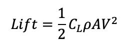
It’s very understandable to be afraid of flying. It doesn’t ever feel natural to be 35,000 feet above solid ground. After all, people aren’t really designed to fly—but planes are. Planes generate lift using their wings, as we all know, and the amount of lift depends on how high they are and how fast they’re going. As a result, as long as the plane is flying over ~200 mph, it’s almost impossible for it to fall out of the sky. It’s a rational fear but not a practical situation. Wings just can’t not generate lift. Let’s get into it.
The first natural step is to worry about the wings falling off, which in any realistic scenario cannot happen. Aircraft wings are tested to absolute extremes (just check out this video). No amount of turbulence could impose the amount of force that commercial wings are tested at. In all commercial applications, components are designed with safety factors of at least 2.0, which means that the component must be able to withstand at least two times the maximum possible load (force) that the component would experience. In other words, wings must be able to handle turbulence that is two times more severe than the absolute worst you could ever experience.
What about the engines? Planes can’t generate thrust without their engines, but they can still fly. Without thrust, the aircraft can no longer provide a horizontal force to overcome drag, and the aircraft will begin to slow down. This decrease in speed leads to a decrease in lift, meaning the aircraft will also lose altitude. This sounds bad, but the pilots still have control and can even use this to their advantage. Without power, most modern-day aircraft have a glide ratio between 15:1 and 25:1. [1] This means that for every foot lost vertically, they travel 15 to 25 feet horizontally. This results in a glide range of about 80 miles when starting at 40,000 feet—an extremely good chance the aircraft will be able to reach a runway. Even though planes can handle them, a total engine failure is extremely unlikely. Engines usually fail due to bird strikes and are even designed to be able to produce thrust after them. One of my favorite tests is engine manufacturers shooting frozen chickens into an operating engine. Both engines being hit by birds is very unlikely, and if only one engine is out, pilots are able to cruise almost normally to land at the nearest airport. In fact, any aircraft that flies over the ocean/internationally must be able to get to an airport if an engine goes out, regardless of where over the ocean the engine fails. This is why, in the earlier days of aviation, the only planes that were allowed to fly from the US to Europe were ones with 3 or more engines. If one went out, there were still at least two engines in operation. As engines became more reliable, planes were able to operate with just one, and the restriction was lifted. Nonetheless, if your plane is flying over the ocean and loses an engine, don’t worry, it’s been considered, and the plane can get to an airport.
Three situations are the primary sources of most aviation anxiety: takeoff, landing, and turbulence. During takeoff, the pilots have a variety of checkpoints at which they evaluate the aircraft. These different checkpoints are called “V-Speeds”. For a complete list of these check out this link. At a certain point during takeoff, the pilots make their final determination about the conditions. If they are all normal, the flight continues. If there are any issues, the pilots abort. Aborting a takeoff isn’t as scary as it sounds. These V-Speeds are designed for each different aircraft so that if the takeoff is aborted, there is still ample room on the runway for the aircraft to stop.
Landing is another big one. One issue that can arise during landing is wind-shear. This can be very dangerous. While it doesn’t affect large commercial aircraft as much, it can pose a threat to smaller, 4-10 pax planes. So, unless you’re flying with a private pilot’s license, in which case you would already be well aware of this, don’t worry too much about it. To give you an idea, though, it has to do with wind shifts at the airport. Recall in the last newsletter we discussed how lift generated is dependent on the airspeed over the wings. If there is a headwind, the speed of the air over the wing is the aircraft’s velocity plus this headwind. Therefore, a headwind results in more lift. By the same logic, a tailwind results in less lift. Wind-shear is when a strong headwind shifts suddenly to a strong tailwind. As a result, an aircraft flying with an extra lift boost due to headwind suddenly doesn’t have as much lift and “drops”. Large aircraft that we are used to flying on have such large wings and land at fast enough speeds that this rarely even happens, let alone becomes a big enough influence for passengers to feel it. The other thing that is naturally concerning to passengers is how fast the aircraft comes to a stop. Sometimes during landing the pilot uses a large amount of reverse thrust to slow the aircraft very quickly. This feels a little sketchy in the moment, but it is almost always because of where your gate is. At large airports, spending more time slowing down on the runway results in being farther away from your gate, and more taxiing time. So, pilots slow down quickly to be closer to where they’re supposed to drop you off. Runways are long enough such that planes can land without using reverse thrust, just using things like flaps and airbrakes, but there’s no use in using all of that distance if you don’t have to. So most likely if the pilots are slamming on the brakes, they’re just trying to save you some time.
Turbulence is admittedly scary. It feels like you’re on the highway hitting a pothole except you’re 7 miles off the ground going 500 mph. That’s pretty wild. What helps me is to remember that all you’re hitting is air. There’s no pothole, there’s no physical object causing the bumps. It’s just air that is at a different temperature or going a different speed. Similar to what we discussed before, where changes in wind speed cause the wings to generate more or less lift. A similar result happens when there are pockets of air that are at different pressures and temperatures. The ideal gas law says that:
Where p is the air pressure, rho is the air density, R is a constant, and T is the air temperature. Recall that lift generated by wings can be expressed in the following way:
Resultantly, changes in the pressure and/or temperature of the air affect the density of the air. Changes in density result in fluctuations in the amount of lift the wings are able to generate. Additionally, changes in windspeed affect the lift generated. So, turbulence is just little pockets of air that have different properties than the regular air where the plane is flying. All the wings are doing is… working. Turbulence just reflects what the air is like and the wings respond by generating the appropriate amount of lift. Therefore, turbulence can’t really bring down a plane. Because if it “drops” out of the sky, it will fall into air that is normal. Turbulence that brings down planes almost never “breaks” the structure of the plane. The pilots more often just deem the weather too uncomfortable to fly at for a long period of time.
To conclude: wings are designed to work. That may sound dumb but at their core, they don’t actively do anything. Sure, there are control surfaces that are powered, but the wing’s lift generating capability does not require power. It’s simply the shape of the wings and how fast the plane is going. When the plane is flying level, the wings naturally generate lift. Like I said, planes want to fly. When you bring them up to speed, that’s what they do. It feels unnatural for us, and some conditions can be scary, but the true fact is you have a 0.0003% chance of being in any sort of accident and a 0.00001% chance of being in a fatal crash. (Based on 2018 data) [2] That’s 27,000 times less likely than being in a car accident. I hope that this has helped put some things into perspective and at least help you understand others. Thank you for reading and I hope everyone had a happy holiday.
Check out the last newsletter here.
Special thanks to Joe Lovinger for edits and Julia Lubarsky for inspiration.
For more details…
Thanks Matthew!! I will feel better next time I travel 🙏
Matthew, Thank you. Am working on travel plans and it was perfect timing to read your piece. Fascinating and comforting.